COVID-19
Linhas de atuação:
Modelo SIR - Previsão do pico da curva de contágio
As previsões realizadas para o Estado da Paraíba e para o município de João Pessoa foram realizadas com base no modelo epidemiológico SIR (Susceptíveis – Infectados – Recuperados). O modelo SIR foi desenvolvido por Kermack e McKendrick (1927) para explicar a evolução de epidemias contagiosas, para isso, a população é em: Susceptíveis (S), Infectados (I), e Recuperados (R) – pessoas que já contraíram a doença e desenvolveram anticorpos ou pessoas que morreram por consequência da doença. Neste modelo são feitas as suposições de que:
-
A população é constante, com isso, não é levado em consideração os nascimentos e as mortes durante a epidemia;
-
Os indivíduos são igualmente susceptíveis à doença;
-
Os indivíduos ficam imunes após com uma única infecção.
O modelo SIR também apresenta algumas características que devem ser expostas, como:
-
O número de vezes que um indivíduo entra em contato com outros indivíduos em uma unidade de tempo é definido como a taxa de contato;
-
O modelo leva em consideração a maneira como os indivíduos de uma comunidade estão interagindo entre si;
-
O modelo também leva em consideração a capacidade de infectividade do vírus.
A modelagem segue a seguinte lógica: Nt = St + It + Rt . Em que:
-
Nt é a população total;
-
St representa os suscetíveis, portanto todos aqueles que ainda não contraíram o vírus;
-
It são os infectados;
-
Rt são os recuperados.
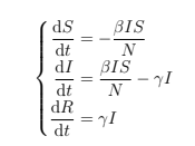
Dadas as características e as hipóteses do modelo, chegamos as seguintes equações diferenciais:

Dadas as características do modelo SIR, pode-se apresentar o modo de parametrização deste:
![]() |
![]() |
![]() |
A estimação dos parâmetros para a Paraíba e João Pessoa foram feitas a partir de uma análise do comportamento da evolução real do COVID-19, estimando pela função de otimização do método Limited-memory BFGS-B. Os resultados desta análise são reportados abaixo:

Aplicação web os dados sobre o COVID-19
O primeiro ponto que precisa ser enfatizado nesse campo é o processo de construção da bases de dados. No nosso caso, esse é feito diretamente nas informações disponibilizadas pela Secretaria de Saúde do Estado da Paraíba (SES), nos Boletins Epidemiológicos e nas atualizações do COVID-19, ambos disponíveis no sítio eletrônico da SES. Para os dados de confirmados, óbitos e recuperados, é criado uma planilha eletrônica com os campos - data, cidade, confirmados, óbitos, recuperados e novos casos. Dessa forma, os dados ficam dispostos em painel e armazenados em repositório na nuvem.
Em relação a base de dados do perfil dos óbitos, as informações vêm descritas no corpo dos textos das atualizações COVID-19, os campos dessas base de dados são categorizados da seguinte forma: data início - que pode ser dos sintomas ou da procura ao atendimento médico, data óbito, cidade, gênero, idade, diabetes, hipertenso, cardíaco, tabagismo, profissional de saúde, comorbidade e fonte. Os campos diabetes, hipertenso, cardíaco, tabagismo, profissional de saúde e comorbidade são dummies, em que 0 representa não e 1 sim.
Vale ressaltar que o campo de comorbidade é automaticamente preenchido com 1 caso qualquer uma das outras comorbidades especificamente categorizadas também possuam o valor de 1. Entretanto, criar um campo para cada comorbidade específica tornaria a base de dados confusa e ineficiente, doravante, apenas as mais comuns são individualizadas. O campo fonte é o link da atualização COVID-19 da SES.

Isolamento Social
Utilizando a Google Mobility Dataset (base de dados da geolocalização dos aparelhos de sistema Android), é feita uma análise exploratória dos dados, onde é possível elaborar gráficos para a visualização desses dados e efetuar descrições estatísticas. possibilitando a monitoração da variação do isolamento social a partir dos seguintes setores:
-
Lojas e ambientes de recreação;
-
Mercados e farmácias;
-
Parques;
-
Vias de trânsito;
-
Ambientes de trabalho;
-
Residências.
![]() |
![]() |
Análise de redes sociais e análise de sentimentos
Uma das vertentes do LABIMEC é o monitoramento das redes sociais, a literatura defende a sua utilização como uma fonte geradora de dados e indicadores de comportamento social. O Twitter, atualmente é um instrumento que possibilita o acompanhamento em tempo real de reações e que permite aos pesquisadores estudar o padrão de comportamento de usuários em diversas partes do mundo relacionados a tópicos distintos. Inicialmente é feito o mapeamento de tweets relacionado a #COVID-19 em todo o mundo para entender melhor a discussão e posteriormente essas análises se tornam mais direcionadas a alguns países, regiões e Estados.
![]() |
![]() |
![]() |
Acompanhe nosso instagram.








