Notícias
Relação de Contas da UFPB aprovadas pelo TCU
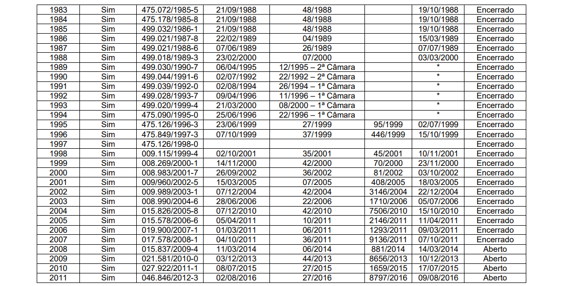
A Comissão Permanente de Avaliação de Documentos (CPAD) em parceria com o Arquivo Central e Arquivo Setorial da Pro-Reitoria Administrativa (PRA) fizeram consulta ao Tribunal de Contas da União (TCU) e ao Controle Interno da UFPB para obter informações necessárias sobre as prestações de contas da Universidade Federal da Paraíba para fins do procedimento da eliminação de documentos conforme Resolução Nº 40 do CONARQ e demais legislações vigentes.
Para tanto, foi realizado um pedido e-sic ao TCU (nº 308708, em outubro de 2018), para obter informações necessárias e abertos dois¹ processos² ao Controle Interno da UFPB para analisar os dados enviados e sintetizar um quadro objetivo com as informações necessárias à avaliação de documentos que requerem a observância da comprovação da aprovação das contas.
QUADRO SINTETIZADO SOBRE A PRESTAÇÃO DE CONTAS DA UFPB DE 1964 A 2016



